Tụ điện là gì? Phân loại và ứng dụng của capacitor
Tụ điện là một linh kiện điện tử quen thuộc nhưng lại giữ vai trò quan trọng trong cả lý thuyết lẫn ứng dụng kỹ thuật. Từ việc lưu trữ và phóng điện trong các mạch điện tử, lọc nhiễu trong nguồn điện, cho đến việc tham gia vào các hệ thống công nghiệp và thiết bị điện tử hiện đại – tất cả đều liên quan trực tiếp đến linh kiện này. Vậy tụ điện là gì, được cấu tạo và hoạt động như thế nào, và có những ứng dụng gì trong thực tiễn? Những nội dung này sẽ được DAT Group tổng hợp và giải đáp trong bài viết sau.
Tụ điện là gì?
Trong điện tử, tụ điện (capacitor) là một linh kiện dùng để lưu trữ năng lượng điện bằng cách tích tụ điện tích trên hai bề mặt dẫn điện đặt gần nhau và được cách điện với nhau. Đây là một linh kiện thụ động (passive component) có hai cực. Trước đây, tụ điện thường được gọi là “condenser”, thuật ngữ này vẫn còn được sử dụng trong một số tên gọi ghép, chẳng hạn như micro tụ ngưng. Trong cách gọi thông dụng, tụ điện còn được viết tắt là “cap”.
Khả năng ứng dụng của tụ điện phụ thuộc vào giá trị điện dung (capacitance) của nó. Mặc dù luôn tồn tại một điện dung nhất định giữa bất kỳ hai dây dẫn đặt gần nhau trong một mạch điện, nhưng tụ điện là một linh kiện được thiết kế chuyên biệt để cung cấp và điều chỉnh điện dung cho một phần cụ thể của mạch.
Vào tháng 10 năm 1745, nhà vật lý Ewald Georg von Kleist tại Pomerania (Đức) phát hiện ra rằng điện tích có thể được lưu trữ khi nối một máy phát tĩnh điện cao áp với một bình thủy tinh chứa nước thông qua dây dẫn.
Trong thí nghiệm này, tay của Von Kleist và phần nước đóng vai trò là chất dẫn điện, còn bình thủy tinh hoạt động như một chất cách điện (mặc dù cách giải thích thời đó chưa hoàn toàn chính xác). Ông nhận thấy rằng khi chạm vào dây dẫn sẽ phát ra một tia lửa điện mạnh, gây cảm giác đau buốt hơn nhiều so với khi chạm trực tiếp vào máy phát tĩnh điện.
Một năm sau, nhà vật lý người Hà Lan Pieter van Musschenbroek, công tác tại Đại học Leiden, đã phát minh ra một thiết bị tương tự, về sau được gọi là lọ Leyden (Leyden jar). Tiếp đó, Daniel Gralath là người đầu tiên ghép song song nhiều lọ Leyden để tạo thành một dạng “pin” nhằm tăng dung lượng lưu trữ điện.
Khi nghiên cứu lọ Leyden, Benjamin Franklin đi đến kết luận rằng điện tích thực chất được lưu trữ trên thành thủy tinh, chứ không phải trong nước như nhiều người vẫn nghĩ. Từ đó, ông đưa ra thuật ngữ “battery” (pin) để chỉ sự kết hợp nhiều đơn vị tích điện. Về sau, nước trong lọ Leyden được thay thế bằng dung dịch điện phân, và cả mặt trong lẫn ngoài của lọ đều được phủ bằng lá kim loại, chỉ chừa lại một khoảng ở miệng để tránh phóng điện trực tiếp. Đây chính là dạng tụ điện đầu tiên, với giá trị điện dung khoảng 1,11 nanofarad (nF).
Nguyên lý hoạt động
Tổng quan
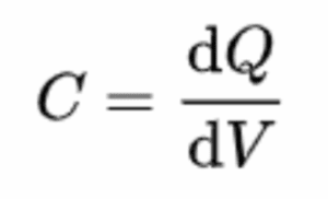
Một tụ điện lý tưởng được đặc trưng bởi giá trị điện dung C, tính bằng farad (F) trong hệ SI, được định nghĩa là tỷ số giữa điện tích Q (dương hoặc âm) trên mỗi bản cực và hiệu điện thế V giữa chúng:
Trong các thiết bị thực tế, sự tích tụ điện tích đôi khi có thể gây ảnh hưởng cơ học đến tụ điện, làm cho điện dung thay đổi. Trong trường hợp này, điện dung được định nghĩa theo sự thay đổi vi phân của điện tích và điện áp:
Tương tự thủy lực
Trong phép tương tự thủy lực, điện áp (volt) được so sánh với áp suất nước, còn dòng điện (current) chạy trong dây dẫn được so sánh với dòng chảy của nước trong ống. Tụ điện được ví như một màng đàn hồi nằm trong ống: nước không thể chảy xuyên qua màng, nhưng màng sẽ giãn ra hoặc co lại, làm cho nước ở hai phía dịch chuyển theo.
Điện dung (capacitance) tương tự với độ đàn hồi của màng. Giống như tỷ số điện tích/điện áp (C = Q/V) sẽ lớn hơn khi điện dung cao, thì tỷ số thể tích nước dịch chuyển/áp suất cũng sẽ lớn hơn khi màng đàn hồi dễ uốn cong hơn.
Trong mạch xoay chiều (AC), tụ điện hoạt động như màng đàn hồi trong ống: nó cho phép điện tích dịch chuyển qua lại ở hai phía điện môi, mặc dù không có electron nào đi xuyên qua. Ngược lại, trong mạch một chiều (DC), tụ điện giống như một bình tích áp thủy lực (hydraulic accumulator), có khả năng tích trữ năng lượng và chỉ xả ra khi áp suất được giải phóng. Do đó, tụ điện cũng thường được dùng để làm phẳng dòng điện trong mạch chỉnh lưu DC, tương tự như bình tích áp giúp giảm dao động dòng chảy từ bơm thủy lực.
Tụ điện được nạp điện và màng đàn hồi bị kéo giãn đều lưu trữ thế năng. Tụ điện càng được nạp nhiều thì điện áp giữa hai bản cực càng lớn (V = Q/C); tương tự, thể tích nước bị dịch chuyển càng lớn thì thế năng đàn hồi của màng càng cao.
Dòng điện ảnh hưởng đến sự chênh lệch điện tích trên tụ điện, cũng như dòng nước ảnh hưởng đến sự chênh lệch thể tích hai phía của màng.
Giống như tụ điện có thể bị phóng điện xuyên thủng điện môi khi chịu điện áp quá cao, thì màng đàn hồi cũng có thể bị vỡ khi áp suất vượt quá giới hạn.
Cuối cùng, cũng giống như tụ điện chặn DC nhưng cho AC đi qua, màng đàn hồi sẽ không dịch chuyển nước nếu áp suất không thay đổi.
Tương đương mạch ở giới hạn thời gian ngắn và dài
Trong một mạch điện, tụ điện có thể thể hiện đặc tính khác nhau tại các thời điểm khác nhau. Tuy nhiên, thường có thể đơn giản hóa bằng cách xét ở hai trường hợp giới hạn: thời gian ngắn và thời gian dài:
Giới hạn thời gian dài: Sau khi dòng nạp hoặc xả đã làm tụ điện bão hòa, sẽ không còn dòng điện đi vào hay đi ra ở hai cực của tụ. Do đó, trong trạng thái ổn định lâu dài, tụ điện được tương đương như một mạch hở
Giới hạn thời gian ngắn: Nếu tại thời điểm ban đầu tụ điện đang có một điện áp V, thì vì giá trị điện áp trên tụ đã biết ngay tại thời điểm đó, ta có thể thay thế nó bằng một nguồn điện áp lý tưởng có giá trị V. Cụ thể, nếu V = 0 (tụ chưa được nạp), thì trong thời gian ngắn ban đầu, tụ điện được tương đương như một mạch ngắn mạch
Dấu hiệu tụ điện
- Mã ký hiệu cho các tụ điện lớn: Hầu hết các tụ điện đều có ký hiệu in trên thân để chỉ đặc tính điện của chúng. Các tụ điện lớn, chẳng hạn như tụ hóa, thường ghi giá trị điện dung kèm đơn vị rõ ràng, ví dụ: 220 μF.
- Mã ký hiệu ba/bốn ký tự cho tụ điện nhỏ: Các tụ điện nhỏ hơn, chẳng hạn như tụ gốm, thường sử dụng cách ghi rút gọn gồm ba chữ số và có thể thêm một chữ cái. Trong đó, ba chữ số (XYZ) biểu thị điện dung tính bằng picofarad (pF), được tính theo công thức XY × 10^Z, và chữ cái biểu thị dung sai. Các dung sai thông dụng là ±5%, ±10% và ±20%, lần lượt ký hiệu là J, K và M.
- Mã ký hiệu hai ký tự cho tụ điện nhỏ: Đối với các giá trị điện dung thuộc dãy chuẩn E3, E6, E12 hoặc E24, các tiêu chuẩn ANSI/EIA-198-D:1991, ANSI/EIA-198-1-E:1998, ANSI/EIA-198-1-F:2002 cũng như bản sửa đổi IEC 60062:2016/AMD1:2019 của IEC 60062 định nghĩa một hệ thống mã hai ký tự cho các tụ điện rất nhỏ không đủ chỗ để in mã ba/bốn ký tự như trên. Mã này gồm một chữ cái in hoa biểu thị hai chữ số có nghĩa của giá trị, theo sau là một chữ số chỉ bậc nhân. Tiêu chuẩn EIA cũng định nghĩa thêm một số chữ cái in thường để chỉ những giá trị không có trong dãy E24.
- Mã RKM: Mã RKM theo IEC 60062 và BS 1852 là cách ghi giá trị điện dung của tụ trong sơ đồ mạch. Nó tránh dùng dấu thập phân và thay thế bằng ký hiệu tiền tố SI cho giá trị cụ thể (và chữ F để biểu thị đơn vị farad). Mã này cũng được sử dụng trên thân linh kiện. Ví dụ: 4n7 nghĩa là 4,7 nF hoặc 2F2 nghĩa là 2,2 F.
Lịch sử: Trong các tài liệu trước thập niên 1960 và trên một số bao bì tụ điện cho đến gần đây, các đơn vị điện dung đã lỗi thời vẫn còn được sử dụng trong sách, tạp chí và catalog điện tử. Các đơn vị cũ “mfd” và “mf” được dùng để chỉ microfarad (μF); các đơn vị “mmfd”, “mmf”, “uuf”, “μμf”, “pfd” được dùng để chỉ picofarad (pF); nhưng ngày nay hầu như không còn sử dụng nữa. Ngoài ra, đơn vị “Micro Microfarad” hay “micro-microfarad” (μμF) trong một số tài liệu cũ cũng tương đương với picofarad (pF).
Tóm tắt các đơn vị điện dung đã lỗi thời (không hiển thị các biến thể chữ hoa/thường):
- μF (microfarad) = mf, mfd
- pF (picofarad) = mmf, mmfd, pfd, μμF
Các loại tụ điện phổ biến hiện nay
Tụ điện là linh kiện điện tử quan trọng, được chế tạo với nhiều dạng và công nghệ khác nhau để đáp ứng từng mục đích sử dụng cụ thể. Dưới đây là phân loại chi tiết:
Tụ điện tích hợp
- Tụ MIS (Metal–Isolator–Semiconductor): Loại tụ được sản xuất theo công nghệ bán dẫn, gồm ba lớp kim loại – điện môi – chất bán dẫn, trong đó điện môi thường là polymer.
- Tụ trench: Cấu trúc dạng rãnh (trench) giúp tăng mật độ điện dung, thường ứng dụng trong chip nhớ.
Tụ điện cố định
- Tụ gốm (Ceramic capacitor): Sử dụng điện môi bằng vật liệu gốm, nhỏ gọn, phổ biến trong mạch điện tử dân dụng.
- Tụ màng (Film capacitor): Có điện môi làm từ màng nhựa (plastic film), bền nhiệt và ít rò rỉ.
- Tụ mica: Dùng khoáng mica tự nhiên làm điện môi, có độ ổn định cao, tổn hao thấp, phù hợp cho mạch cộng hưởng tần số cao.
Tụ hóa
- Tụ hóa nhôm: Cực dương (anode) làm bằng nhôm.
- Tụ hóa tantali: Cực dương làm bằng tantali, ưu điểm kích thước nhỏ và điện dung lớn.
- Tụ hóa niobi: Sử dụng kim loại niobi cho anode.
- Tụ polyme, tụ OS-CON: Điện phân làm từ polyme dẫn điện, tuổi thọ và hiệu suất cao.
Siêu tụ điện
- Siêu tụ EDLC (Electric Double-Layer Capacitor): Lưu trữ năng lượng dựa trên nguyên lý lớp điện kép.
- Siêu tụ Nanoionic: Ứng dụng công nghệ lớp kép nano, đạt mật độ điện dung rất lớn.
- Siêu tụ Li-ion (LIC): Kết hợp nguyên lý lớp điện kép và công nghệ lithium-ion để tăng khả năng tích trữ.
Tụ điện đặc biệt khác
- Tụ chân không (Vacuum capacitor): Dùng chân không làm điện môi, thường cho ứng dụng cao tần và công suất lớn.
- Tụ biến đổi (Variable capacitor): Cho phép thay đổi giá trị điện dung. Bao gồm:
- Tụ tuning: Điều chỉnh điện dung trong dải rộng, dùng trong mạch điều hưởng (tuning circuits).
- Tụ trim: Điều chỉnh dải hẹp, dùng để vi chỉnh (fine-tuning).
- Tụ biến đổi chân không: Loại đã lỗi thời.
Tụ điện theo ứng dụng
- Tụ lọc (Filter capacitor): Lọc nhiễu trong mạch, thường có một cực nối mát.
- Tụ motor: Dùng để khởi động và tạo từ trường quay cho động cơ.
- Tụ photoflash: Sử dụng trong đèn flash máy ảnh, cần khả năng phóng điện nhanh.
- Dãy tụ điện (Capacitor network/array): Các tụ được ghép thành mảng theo cấu hình sẵn.
- Varicap (Diode biến dung): Là diode bán dẫn hoạt động ở chế độ biến đổi điện dung.
Ứng dụng
Lưu trữ năng lượng: Tụ điện có thể lưu trữ năng lượng điện khi được ngắt khỏi mạch nạp, vì vậy nó có thể được sử dụng như một loại pin tạm thời, hoặc giống như các hệ thống lưu trữ năng lượng sạc lại khác. Tụ điện thường được dùng trong các thiết bị điện tử để duy trì nguồn cấp trong lúc thay pin (nhằm tránh mất dữ liệu trong bộ nhớ dễ mất – volatile memory).
Bộ nhớ số: Vào những năm 1930, John Atanasoff đã áp dụng nguyên lý lưu trữ năng lượng bằng tụ điện để xây dựng bộ nhớ số động (dynamic số memories) cho những máy tính nhị phân đầu tiên sử dụng đèn điện tử làm phần tử logic.
Năng lượng xung và vũ khí: Công nghệ năng lượng xung được sử dụng trong nhiều ứng dụng nhằm tăng mật độ công suất từ một lượng năng lượng bằng cách giải phóng nó trong khoảng thời gian rất ngắn. Các xung trong khoảng nanosecond với công suất tới gigawatt là khả thi. Các xung cực ngắn thường cần những tụ điện đặc biệt có điện cảm thấp và điện áp cao, thường được ghép thành mạng tụ lớn để tạo ra dòng điện xung khổng lồ cho nhiều ứng dụng như: dập tạo hình điện từ (electromagnetic forming), máy phát Marx, laser xung , mạng tạo xung , ra-đa, nghiên cứu phản ứng nhiệt hạch và máy gia tốc hạt.
Khởi động động cơ: Trong các động cơ lồng sóc một pha, dây quấn chính bên trong vỏ động cơ không đủ khả năng tạo ra chuyển động quay cho rô-to, nhưng có thể duy trì chuyển động sau khi đã khởi động. Để khởi động động cơ, một dây quấn phụ được mắc nối tiếp với tụ khởi động không phân cực để tạo ra góc lệch pha trong dòng điện xoay chiều hình sin. Khi dây quấn phụ được đặt lệch góc so với dây quấn chính, một từ trường quay sẽ hình thành. Lực từ trường này không hằng số, nhưng đủ để làm cho rô-to bắt đầu quay.
Xử lý tín hiệu: Năng lượng lưu trữ trong tụ điện có thể được dùng để biểu diễn thông tin, cả ở dạng nhị phân, như trong DRAM, hoặc ở dạng tương tự (analog), như trong bộ lọc lấy mẫu và CCD. Trong mạch tương tự, tụ điện có thể hoạt động như thành phần của mạch tích phân hoặc các bộ lọc phức tạp hơn, cũng như trong vòng hồi tiếp âm để ổn định. Các mạch xử lý tín hiệu cũng sử dụng tụ điện để tích phân tín hiệu dòng điện.
Điều hòa công suất: Tụ điện dự trữ được sử dụng trong nguồn điện một chiều, giúp làm phẳng điện áp đầu ra của bộ chỉnh lưu nửa chu kỳ hoặc toàn chu kỳ. Ngoài ra, chúng còn được dùng trong mạch bơm điện tích, làm phần tử lưu trữ năng lượng để tạo ra điện áp cao hơn so với điện áp đầu vào.
Mạch dao động: Trong mạch dao động, tụ điện có đặc tính giống như lò xo. Ví dụ, trong một mạch dùng transistor npn, tụ điện có tác dụng ảnh hưởng đến điện áp phân cực tại cực base. Giá trị của các điện trở chia áp kết hợp với điện dung của tụ sẽ quyết định tần số dao động.
Phát sáng: Tụ phát sáng được chế tạo từ điện môi có khả năng phát quang. Nếu một trong các bản cực dẫn điện được làm bằng vật liệu trong suốt, ánh sáng phát ra sẽ nhìn thấy được. Tụ điện phát sáng được sử dụng trong việc chế tạo tấm phát quang điện, điển hình trong đèn nền của màn hình laptop. Trong trường hợp này, toàn bộ tấm panel chính là một tụ điện được dùng để phát sáng
Tụ điện không chỉ là một linh kiện điện tử cơ bản, mà còn là yếu tố then chốt trong nhiều lĩnh vực khoa học, công nghiệp và đời sống. Từ các mạch điện tử đơn giản, hệ thống lọc nhiễu, lưu trữ năng lượng, đến các thiết bị điện tử và công nghiệp hiện đại, việc lựa chọn và sử dụng tụ điện đúng cách giúp đảm bảo độ ổn định, nâng cao hiệu suất và kéo dài tuổi thọ thiết bị.
Nếu bạn là kỹ sư, nhà nghiên cứu hay doanh nghiệp đang cần giải pháp về tụ điện chất lượng cao, ứng dụng trong sản xuất, năng lượng hay các công trình điện – điện tử quy mô lớn, hãy liên hệ ngay với DAT Group để được tư vấn chuyên sâu và cập nhật công nghệ mới nhất.




