Áp Suất Là Gì? Phân Loại Và Ứng Dụng Của Áp Suất
Áp suất là đại lượng vật lý quen thuộc nhưng lại giữ vai trò quan trọng trong cả tự nhiên lẫn kỹ thuật. Từ việc đo áp suất khí quyển để dự báo thời tiết, tính toán lực nước trong thủy điện, cho đến kiểm soát áp suất trong các hệ thống công nghiệp – tất cả đều liên quan trực tiếp đến khái niệm này. Vậy áp suất là gì, được tính như thế nào và có những ứng dụng gì trong thực tiễn? Những nội dung này sẽ được DAT Group tổng hợp và giải đáp trong bài viết sau.
Áp suất là gì?
Áp suất là lực tác dụng vuông góc với bề mặt của một vật thể trên một đơn vị diện tích. Ký hiệu của áp suất là “p” hoặc P. Theo khuyến nghị của IUPAC, áp suất được viết thường là p. Tuy nhiên, chữ P viết hoa được sử dụng rộng rãi. Việc sử dụng P hay p phụ thuộc vào lĩnh vực mà người ta đang làm việc, vào sự hiện diện gần đó của các ký hiệu khác cho các đại lượng như công suất và động lượng, và vào phong cách viết.
Có nhiều đơn vị khác nhau được sử dụng để biểu diễn áp suất:
Một số đơn vị được định nghĩa từ đơn vị lực chia cho đơn vị diện tích. Ví dụ: đơn vị SI của áp suất là pascal (Pa), bằng 1 newton trên mét vuông (N/m²). Tương tự, pound-force trên inch vuông (psi, ký hiệu lbf/in²) là đơn vị truyền thống trong hệ đo lường Anh và hệ đo lường Mỹ.
Áp suất cũng có thể được biểu diễn theo áp suất khí quyển tiêu chuẩn. Đơn vị atmosphere (atm) bằng áp suất này, và đơn vị torr được định nghĩa bằng 1/760 atm.
Ngoài ra, còn có các đơn vị dựa trên đo lường cột chất lỏng trong ống manometer (áp kế), như: centimet nước (cmH₂O), milimet thủy ngân (mmHg), inch thủy ngân (inHg).
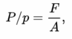
Công thức tính áp suất
Về mặt toán học:
Trong đó:
- p: áp suất
- F: lực tác dụng theo phương vuông góc
- A: diện tích bề mặt tiếp xúc
Áp suất là một đại lượng vô hướng. Nó liên hệ phần tử diện tích vectơ (tức vectơ pháp tuyến của bề mặt) với lực pháp tuyến tác dụng lên diện tích đó. Nói cách khác, áp suất chính là hệ số tỷ lệ vô hướng liên hệ giữa hai vectơ pháp tuyến này.
Áp suất được phân bố đều trên các ranh giới rắn hoặc trên mọi mặt cắt bất kỳ của chất lỏng, theo phương pháp tuyến với các bề mặt đó, tại mọi điểm.
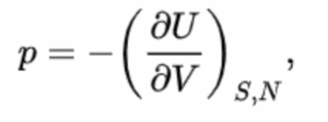
Trong nhiệt động lực học, áp suất là một tham số cơ bản và là đại lượng liên hợp với thể tích. Nó được định nghĩa thông qua đạo hàm của nội năng của một hệ:
Trong đó:
- U: nội năng của hệ
- V: thể tích hệ Chỉ số con (S, N) biểu thị rằng đạo hàm được lấy trong điều kiện entropy (S) và số hạt (N) không đổi.
Đơn vị áp suất trong hệ thống đơn vị quốc tế SI
Đơn vị SI của áp suất là pascal (Pa), bằng một newton trên mét vuông (N/m², hay kg·m⁻¹·s⁻²). Tên gọi pascal được đưa vào từ năm 1971; trước đó, áp suất trong SI được biểu diễn dưới dạng newton trên mét vuông.
Ngoài ra, còn có nhiều đơn vị áp suất khác vẫn được sử dụng phổ biến: pounds per square inch (lbf/in², hay psi) và bar trong hệ đo lường Anh – Mỹ và kỹ thuật.
Đơn vị CGS của áp suất là barye (Ba), bằng 1 dyn/cm² = 0,1 Pa.
Đôi khi áp suất cũng được biểu diễn dưới dạng gam-lực hoặc kilogam-lực trên centimet vuông (“g/cm²” hoặc “kg/cm²”), nhưng cách dùng này không chuẩn SI, vì trong SI đã loại bỏ việc sử dụng kilogram-force hay gram-force làm đơn vị lực.
atmosphere kỹ thuật (ký hiệu: at) được định nghĩa bằng 1 kgf/cm² = 98,066,5 Pa ≈ 14,223 psi.
Hiện nay và trước đây, một số đơn vị áp suất phổ biến gồm có:
Đơn vị khí quyển:
- atmosphere (atm).
Đơn vị manometric (dựa trên cột chất lỏng):
- cmHg, inHg, mmHg (torr), µmHg (mTorr, micron) – cột thủy ngân.
- mmH₂O, cmH₂O, mH₂O, inH₂O, ftH₂O – cột nước.
Đơn vị Anh và Mỹ (imperial & customary units):
- kip, short ton-force, long ton-force, pound-force, ounce-force, poundal/in².
- short ton-force/in², long ton-force/in².
fsw (foot sea water): dùng trong lặn biển, đặc biệt để đo áp suất và giải nén.
- Đơn vị hệ mét ngoài SI (non-SI metric units):
- bar, decibar (dbar), millibar (mbar).
msw (metre sea water): dùng trong lặn biển, đo áp suất phơi nhiễm và giải nén.
- kgf/cm² (kilogram-force, hay kilopond, còn gọi là atmosphere kỹ thuật).
- gf/cm² (gram-force), tf/cm² (tonne-force hay metric ton-force).
- barye (Ba): = dyn/cm² (hệ CGS).
- kgf/m², tf/m².
- sthene/m² (pieze).
Các loại áp suất
Áp suất chất lỏng
Áp suất chất lỏng xảy ra trong hai tình huống:Điều kiện mở (open condition), gọi là “dòng chảy kênh hở” (open channel flow), ví dụ: đại dương, hồ bơi, hay khí quyển.
Điều kiện kín (closed condition), gọi là “dòng chảy ống kín” (closed conduit), ví dụ: đường ống nước hay đường ống dẫn khí.
Áp suất trong điều kiện mở thường có thể được xấp xỉ như áp suất trong điều kiện “tĩnh” hoặc không chuyển động (ngay cả trong đại dương nơi có sóng và dòng chảy), vì các chuyển động này chỉ tạo ra thay đổi không đáng kể về áp suất. Những điều kiện như vậy tuân theo các nguyên lý của tĩnh học chất lỏng (fluid statics). Áp suất tại bất kỳ điểm nào của chất lỏng tĩnh (không chuyển động) được gọi là áp suất thủy tĩnh (hydrostatic pressure).
Các khối chất lỏng kín có thể là “tĩnh” khi chất lỏng không chuyển động, hoặc “động” khi chất lỏng có thể chuyển động như trong ống dẫn hoặc khi nén một khoảng không khí trong bình kín. Áp suất trong điều kiện kín tuân theo các nguyên lý của động lực học chất lỏng (fluid dynamics).
Các khái niệm về áp suất chất lỏng chủ yếu được gắn với những phát hiện của Blaise Pascal và Daniel Bernoulli. Phương trình Bernoulli có thể được sử dụng trong hầu hết mọi tình huống để xác định áp suất tại bất kỳ điểm nào trong chất lỏng. Phương trình này giả định chất lỏng là lý tưởng và không nén được. Một chất lỏng lý tưởng là chất lỏng không có ma sát, có độ nhớt bằng không (inviscid).
Phương trình cho mọi điểm trong một hệ thống chứa chất lỏng có mật độ không đổi là:
Trong đó:
- p: áp suất của chất lỏng,
- Y = ρg: trọng lượng riêng của chất lỏng (khối lượng riêng × gia tốc trọng trường),
- v: vận tốc chất lỏng,
- g: gia tốc trọng trường,
- z: cao độ
Ứng dụng
- Hệ thống phanh thủy lực
- Giếng phun tự nhiên
- Áp suất máu (huyết áp)
- Cột áp thủy lực
- Sức trương của tế bào thực vật
- Cốc Pythagoras
- Rửa bằng tia nước áp lực cao
Áp suất nổ hoặc bốc cháy
Áp suất nổ hoặc bốc cháy là kết quả của sự bắt lửa của khí nổ, sương mù, bụi/không khí lơ lửng trong không gian hạn chế và không gian mở.
Áp suất âm
Khi làm việc với áp suất tương đối (gauge pressure):
Ví dụ, một áp suất tuyệt đối 80 kPa có thể được mô tả là áp suất dư −21 kPa (tức là thấp hơn áp suất khí quyển 101 kPa khoảng 21 kPa).
Áp suất tuyệt đối âm. Đây thực chất là trạng thái ứng suất kéo. Cả chất rắn khối và chất lỏng khối đều có thể bị đặt vào áp suất tuyệt đối âm bằng cách kéo dãn chúng. Ở mức vi mô, các phân tử trong chất rắn và chất lỏng có lực hút lẫn nhau mạnh hơn động năng nhiệt, nên một mức độ ứng suất kéo có thể được duy trì.
Hiệu ứng Casimir: Có thể tạo ra một lực hút nhỏ do tương tác với năng lượng chân không; lực này đôi khi được gọi là áp suất chân không (không nên nhầm với áp suất dư âm của chân không).
Ứng suất phi đẳng hướng trong vật rắn: Tùy theo cách chọn hướng của bề mặt, cùng một phân bố lực có thể có thành phần ứng suất dương dọc theo một pháp tuyến, và thành phần ứng suất âm dọc theo một pháp tuyến khác. Khi đó, áp suất được định nghĩa là giá trị trung bình của ba ứng suất chính.
Ứng suất trong trường điện từ: Thông thường là phi đẳng hướng: ứng suất pháp tuyến lên một phần tử bề mặt có thể là âm, trong khi với phần tử vuông góc khác lại là dương.
Trong vũ trụ học:Năng lượng tối tạo ra một lượng nhỏ áp suất âm nhưng có ý nghĩa lớn về mặt vũ trụ, vì nó làm tăng tốc độ giãn nở của vũ trụ.
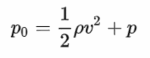
Áp suất ứ đọng
Áp suất ứ đọng là áp suất mà chất lỏng tạo ra khi nó bị buộc phải dừng chuyển động. Do đó, mặc dù chất lỏng chuyển động với tốc độ cao hơn sẽ có áp suất tĩnh thấp hơn, nhưng nó có thể có áp suất ứ đọng cao hơn khi bị buộc phải dừng lại. Áp suất tĩnh và áp suất ứ đọng có mối liên hệ với nhau bởi:
Trong đó:
- p0 : áp suất tĩnh dừng
- p: khối lượng riêng
- v: vận tốc dòng chảy
- p: áp suất tĩnh
Áp suất bề mặt và sức căng bề mặt
Có một khái niệm tương tự hai chiều về áp suất – lực ngang trên một đơn vị chiều dài tác dụng lên đường thẳng vuông góc với lực.
Áp suất bề mặt được ký hiệu là π:
Áp suất của khí lý tưởng
Trong một khí lý tưởng, các phân tử không có thể tích và không tương tác với nhau. Theo định luật khí lý tưởng, áp suất thay đổi tỉ lệ thuận với nhiệt độ và số lượng chất, và tỉ lệ nghịch với thể tích:
Trong đó:
- p: áp suất tuyệt đối của khí
- n: số mol chất
- T: nhiệt độ tuyệt đối
- V: thể tích
- R: hằng số khí lý tưởng
Áp suất hơi
Áp suất hơi là áp suất của hơi trong trạng thái cân bằng nhiệt động lực học với các pha ngưng tụ (lỏng hoặc rắn) trong một hệ kín.
Tất cả các chất lỏng và chất rắn đều có xu hướng bay hơi thành dạng khí, và tất cả các chất khí đều có xu hướng ngưng tụ trở lại thành dạng lỏng hoặc rắn.
Áp suất chất lỏng
Áp suất chất lỏng cũng phụ thuộc vào khối lượng riêng của chất lỏng. Nếu một người chìm trong chất lỏng có khối lượng riêng lớn hơn nước, thì áp suất tác dụng sẽ lớn hơn tương ứng. Do đó, có thể nói rằng độ sâu, khối lượng riêng và áp suất chất lỏng có quan hệ tỉ lệ thuận trực tiếp.
Áp suất do chất lỏng gây ra trong các cột chất lỏng có khối lượng riêng và gia tốc trọng trường không đổi, tại một độ sâu bên trong chất đó, được biểu diễn bởi công thức:
Áp suất không chỉ là một khái niệm vật lý cơ bản, mà còn là yếu tố then chốt trong nhiều lĩnh vực khoa học, công nghiệp và đời sống. Từ dự báo thời tiết, thiết kế công trình, sản xuất năng lượng, đến vận hành hệ thống thủy lực – khí nén, việc hiểu và kiểm soát áp suất chính xác giúp đảm bảo an toàn, tối ưu hiệu quả và kéo dài tuổi thọ thiết bị.
Nếu bạn là kỹ sư, nhà nghiên cứu hay doanh nghiệp đang cần giải pháp đo lường, kiểm soát và quản lý áp suất đạt chuẩn quốc tế, ứng dụng trong sản xuất, năng lượng hay các công trình quy mô lớn, hãy liên hệ ngay với DAT Group để được tư vấn chuyên sâu và cập nhật công nghệ mới nhất.









