Siemens là gì? Cách quy đổi đơn vị Siemens theo SI
Siemens là gì?
Siemens là đơn vị đo độ dẫn điện , độ cảm dẫn và độ nạp điện trong Hệ đo lường quốc tế (SI).

Các đại lượng này là nghịch đảo của:
- Điện trở (resistance) → nghịch đảo là độ dẫn điện (conductance)
- Cảm kháng (reactance) → nghịch đảo là độ cảm dẫn (susceptance)
- Tổng trở (impedance) → nghịch đảo là độ nạp điện (admittance)
Vì vậy, 1 siemens = 1 Ω⁻¹, và đôi khi còn được gọi là mho (ohm viết ngược lại).
Đơn vị siemens được Ủy ban Kỹ thuật Điện Quốc tế (IEC) chấp nhận vào năm 1935, và được Hội nghị Toàn thể về Cân đo và Đo lường lần thứ 14 (CGPM) chính thức công nhận là đơn vị dẫn xuất của SI vào năm 1971.
Đơn vị này được đặt theo tên của nhà phát minh người Đức – Ernst Werner von Siemens. Trong tiếng Anh, từ “siemens” được dùng giống nhau cho cả số ít và số nhiều.
Theo quy ước của SI:
- Tên đơn vị (siemens) viết thường,
- Ký hiệu (S) viết hoa, để phân biệt với giây (second) có ký hiệu là s (chữ thường).
Ngoài ra, độ dẫn điện suất (electrical conductivity) – tức là độ dẫn điện theo chiều dài vật liệu, được đo bằng đơn vị siemens trên mét (S/m).
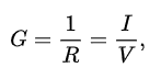
Đối với một thiết bị có điện trở R, độ dẫn điện G được định nghĩa là
Trong công thức:
- G là độ dẫn điện (conductance)
- R là điện trở (resistance)
- I là dòng điện chạy qua thiết bị (current)
- V là hiệu điện thế
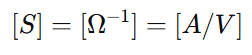
Đơn vị siemens (S) dùng để đo độ dẫn điện G được xác định theo công thức:
trong đó:
Các yếu tố ảnh hưởng đến độ dẫn điện
Nhiệt độ:
Ở khoảng 20°C, khi nhiệt độ tăng, độ dẫn điện của kim loại giảm, còn độ dẫn điện của chất bán dẫn lại tăng.
Hiện tượng này được ứng dụng trong thiết kế điện trở nhiệt những cảm biến đo nhiệt độ dựa trên sự thay đổi điện trở theo nhiệt độ.
Ứng suất cơ học:
Khi dây dẫn bị kéo giãn, chiều dài của nó tăng, còn tiết diện giảm, khiến độ dẫn điện giảm. Ngược lại, khi dây dẫn bị nén, độ dẫn điện tăng lên. Nguyên lý này được ứng dụng trong cảm biến lực căng để đo biến dạng cơ học của vật liệu.
Quang dẫn:
Một số vật liệu, đặc biệt là bán dẫn, có hiện tượng quang dẫn — nghĩa là độ dẫn điện phụ thuộc vào lượng ánh sáng chiếu vào. Khi ánh sáng được hấp thụ, số lượng electron tự do và lỗ trống trong vật liệu tăng lên, làm tăng độ dẫn điện. Hiện tượng này được ứng dụng trong các cảm biến ánh sáng cơ bản.
Độ nạp:
Độ nạp là nghịch đảo của trở kháng. Nó mở rộng khái niệm độ dẫn điện cho mạch xoay chiều (AC) và có cả độ lớn lẫn pha, trong khi độ dẫn điện (conductance) chỉ có độ lớn. Trong mạch một chiều (DC), độ nạp và độ dẫn điện là như nhau, vì góc pha bằng 0.
Siêu dẫn:
Siêu dẫn là trạng thái trong đó vật liệu có độ dẫn điện vô hạn.
Các vật liệu siêu dẫn chỉ thể hiện tính chất này ở nhiệt độ rất thấp:
- Kim loại siêu dẫn cần được làm lạnh đến khoảng 4 K (bằng heli lỏng).
- Một số vật liệu gốm siêu dẫn nhiệt độ cao vẫn duy trì siêu dẫn ở khoảng 77 K, có thể làm lạnh bằng nitơ lỏng.
Đơn vị đo Siemens trong hệ thống đơn vị quốc tế SI
| Multiple | Tên gọi | Kí hiệu | Multiple | Tên gọi | Kí hiệu |
| 100 | siemens | S | |||
| 10¹ | decasiemens | daS | 10−1 | decisiemens | dS |
| 10² | hectosiemens | hS | 10−2 | centisiemens | cS |
| 103 | kilosiemens | kS | 10−3 | millisiemens | mS |
| 106 | megasiemens | MS | 10−6 | microsiemens | µS |
| 109 | gigasiemens | GS | 10−9 | nanosiemens | nS |
| 1012 | terasiemens | TS | 10 −12 | picosiemens | pS |
| 1015 | petasiemens | PS | 10−15 | femtosiemens | fS |
| 1018 | exasiemens | ES | 10−18 | attosiemens | aS |
| 1021 | zettasiemens | ZS | 10−21 | zeptosiemens | zS |
| 1024 | yottasiemens | YS | 1024 | yoctosiemens | yS |
Mho
Đơn vị siemens (S) tương đương với đơn vị mho, hiện nay đã không còn được sử dụng chính thức. Tên gọi “mho” được tạo ra bằng cách đảo ngược từ “ohm”, và ký hiệu bằng chữ cái Hy Lạp Omega (Ω) viết ngược lại: ℧ (mã Unicode U+2127).
Vì siemens là đơn vị thuộc Hệ đo lường quốc tế (SI), nên nó được sử dụng rộng rãi trong khoa học và đặc biệt là trong các ứng dụng điện học, trong khi mho vẫn đôi khi xuất hiện trong lĩnh vực điện tử.
Biểu tượng ℧ (ohm đảo ngược), mặc dù không phải đơn vị chính thức của SI, lại có ưu điểm là ít bị nhầm với biến số hơn so với ký hiệu S khi thực hiện các phép tính đại số bằng tay, bởi khi viết tay khó phân biệt kiểu chữ nghiêng (biến số) và thẳng (đơn vị).
Ngoài ra, trong một số ngành (như điện tử), người ta thường viết sai ký hiệu giây (second) thành S (thay vì đúng là s), điều này có thể gây nhầm lẫn với ký hiệu của đơn vị siemens.




